In the realm of cosmology, understanding the nature of dark energy remains a significant challenge. Recent research conducted by Mohammad Malekjani, Saeed Pourojaghi, and Zahra Davari from the University of Tehran has shed new light on this enigmatic component of the universe. Their study, published in the journal Physical Review D, employs Bayesian analysis to compare various dark energy models using a comprehensive dataset.
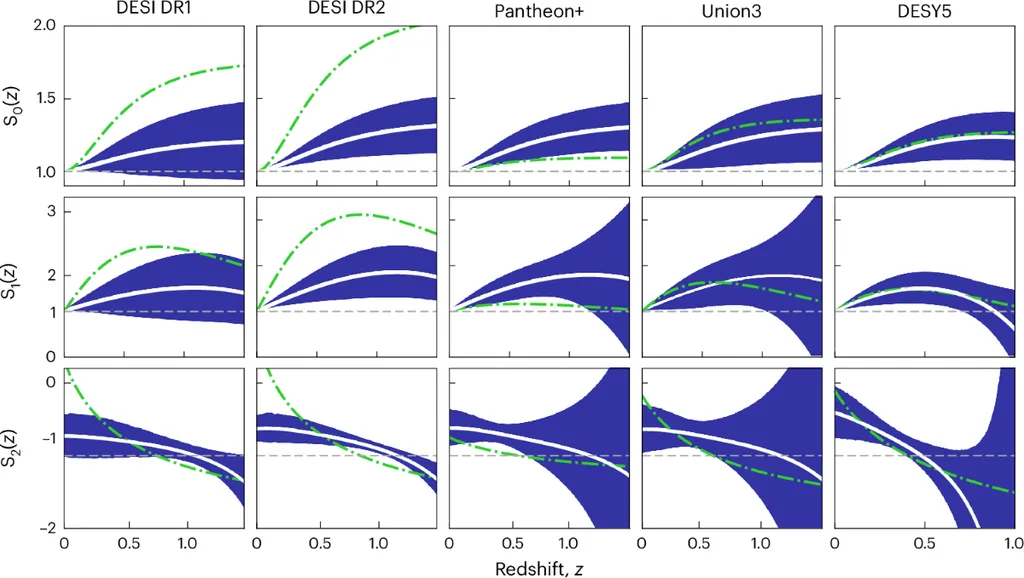
The researchers utilized a combination of Cosmic Microwave Background data, DESI Baryon Acoustic Oscillation measurements, and Supernovae type Ia samples to evaluate different dark energy parametrizations. Their findings reveal that while the standard ΛCDM model is initially favored over a constant wCDM model, the CPL parametrization, which allows for evolving dark energy, is significantly preferred over wCDM. This preference aligns with recent evidence from the DESI collaboration, suggesting that dark energy may not be constant but rather dynamic.
However, the study also indicates that adding excessive complexity to the CPL form is not supported by current observations. Specifically, higher-order CPL extensions, such as CPL+ and CPL++, do not provide a better fit to the data compared to the standard CPL. This result suggests that overly complex models may be unnecessary for explaining the observed cosmological data.
Interestingly, the researchers found that alternative two-parameter forms, such as w_de(a) = w_0 + w_b(1-a)^2 and w_de(a) = w_0 + w_c(1-a)^3, yield a better fit to the observational data than the standard ΛCDM cosmology. These findings support the idea that well-chosen two-parameter w_0w_a parametrizations can effectively capture the evolution of dark energy with current cosmological data.
The implications of this research for the energy sector are indirect but significant. Understanding the nature of dark energy is crucial for developing accurate models of the universe’s expansion and evolution. These models, in turn, inform our understanding of the large-scale structure of the cosmos and the distribution of matter and energy within it. This knowledge can have practical applications in fields such as astrophysics, cosmology, and fundamental physics, which are essential for advancing our understanding of the universe and its underlying principles.
This article is based on research available at arXiv.

